



| songwriting | production | vocals | cohesion | |
|---|---|---|---|---|
| songwriting | production | vocals | cohesion | |
|---|---|---|---|---|
Item structure: Which skills are measured by each item?
Defined by Q-matrix
Interactions between attributes when an item measures multiple skills driven by cognitive theory and/or empirical evidence
| item | songwriting | production | vocals | cohesion |
|---|---|---|---|---|
| 1 | 1 | 1 | 0 | 0 |
| 2 | 1 | 0 | 0 | 0 |
| 3 | 1 | 0 | 0 | 1 |
| 4 | 0 | 0 | 0 | 1 |
| 5 | 1 | 0 | 1 | 0 |
| 6 | 0 | 1 | 0 | 1 |
| 7 | 1 | 0 | 0 | 0 |
| 8 | 1 | 0 | 1 | 0 |
| 9 | 0 | 0 | 1 | 0 |
| 10 | 0 | 1 | 1 | 0 |
| 11 | 1 | 0 | 1 | 0 |
| 12 | 0 | 0 | 0 | 1 |
| 13 | 0 | 0 | 1 | 0 |
| 14 | 1 | 0 | 0 | 0 |
| 15 | 0 | 1 | 0 | 0 |
| 16 | 1 | 1 | 0 | 0 |
| 17 | 0 | 0 | 1 | 1 |
| 18 | 0 | 0 | 0 | 1 |
| 19 | 0 | 1 | 0 | 0 |
| 20 | 0 | 0 | 1 | 1 |
| 21 | 0 | 1 | 0 | 0 |
| 22 | 1 | 0 | 0 | 0 |
| 23 | 0 | 0 | 0 | 1 |
| 24 | 0 | 0 | 1 | 0 |
| 25 | 0 | 0 | 1 | 1 |
| 26 | 0 | 1 | 1 | 0 |
| 27 | 0 | 0 | 1 | 0 |
| 28 | 1 | 1 | 0 | 0 |



Success depends on:
When the goal is to place individuals on a scale
DCMs do not distinguish within classes
| songwriting | production | vocals | cohesion | |
|---|---|---|---|---|

Latent class models use responses to probabilistically place individuals into latent classes
DCMs are confirmatory latent class models
Respondents (r): The individuals from whom behavioral data are collected
Items (i): Assessment questions used to classify/diagnose respondents
Attributes (a): Unobserved latent categorical characteristics underlying the behaviors (i.e., diagnostic status)
Diagnostic Assessment: The method used to elicit behavioral data
With binary attributes, there are \(2^A\) possible profiles
Example 2-attribute assessment:
[0, 0]
[1, 0]
[0, 1]
[1, 1]
\[ \color{#D55E00}{P(X_r=x_r)} = \sum_{c=1}^C\color{#009E73}{\nu_c} \prod_{i=1}^I\color{#56B4E9}{\pi_{ic}^{x_{ir}}(1-\pi_{ic})^{1 - x_{ir}}} \]
Can be multidimensional
No continuum of student achievement
Categorical constructs
Reminder: We’re currently focusing on the measurement model.
\[ \color{#D55E00}{P(X_r=x_r)} = \sum_{c=1}^C\color{#009E73}{\nu_c} \prod_{i=1}^I\color{#56B4E9}{\pi_{ic}^{x_{ir}}(1-\pi_{ic})^{1 - x_{ir}}} \]
Different DCMs define πic in different ways
Consider an assessment that measures 2 attributes
With binary attributes there are \(2^A\) possible profiles
[0, 0]
[1, 0]
[0, 1]
[1, 1]
Items can measure one or both attributes
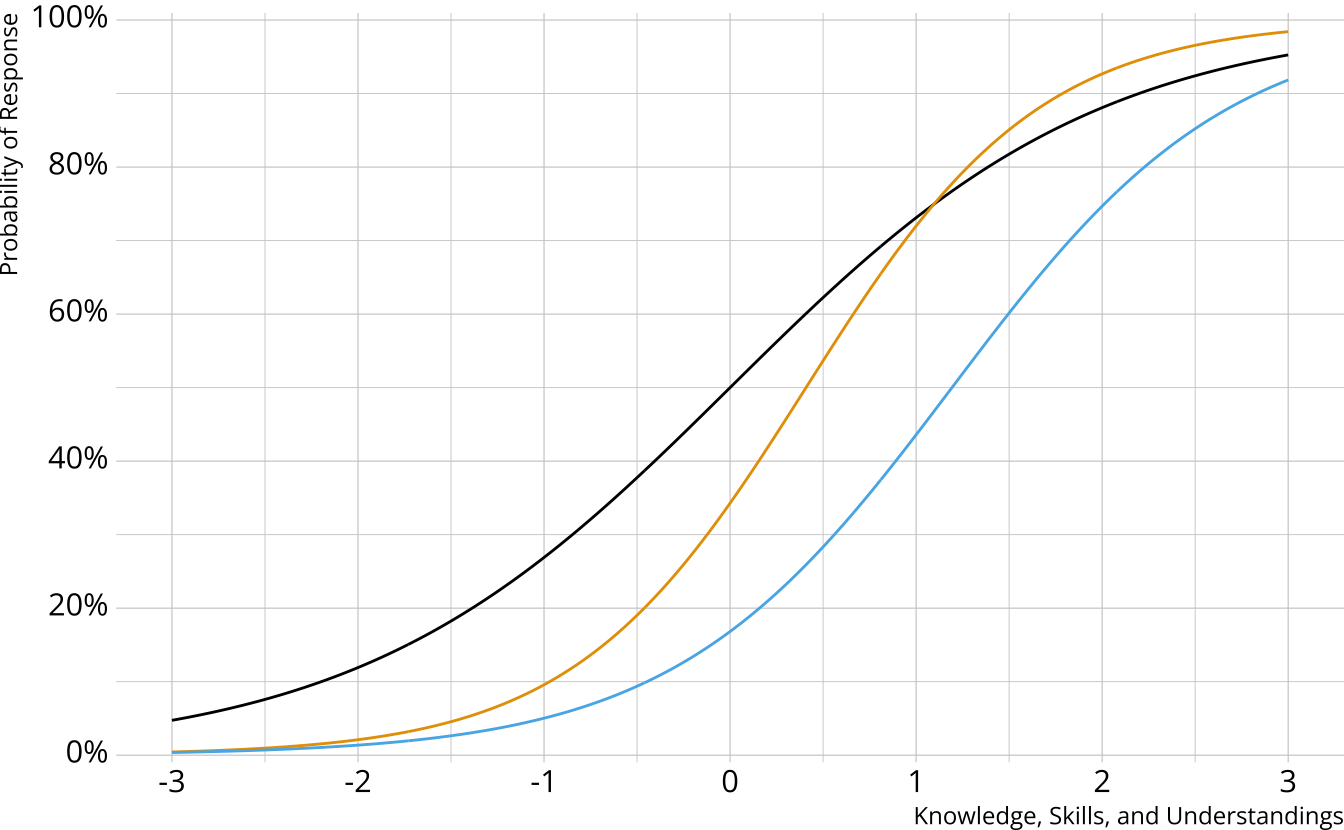
Item characteristic bar charts
When items measure multiple attributes, what level of mastery is needed in order to provide a correct response?
Many different types of DCMs that define this probability differently
General diagnostic models (e.g., LCDM)
Each DCM makes different assumptions about how attributes proficiencies combine/interact to produce an item response
Must be proficient in at least 1 attribute measured by the item to provide a correct response
Deterministic inputs, noisy “or” gate (DINO; Templin & Henson, 2006)

Must be proficient in all attributes measured by the item to provide a correct response
Deterministic inputs, noisy “and” gate (DINA; de la Torre & Douglas, 2004)

Separate increases for each acquired attribute
Compensatory reparameterized unified model (C-RUM; Hartz, 2002)

DINO, DINA, and C-RUM are just 3 of the MANY models that are available
Each model comes with its own set of restrictions, and we typically have to specify a single model that is used for all items (software constraint)
General form diagnostic models
Different response probabilities for each class (partially compensatory)
Log-linear cognitive diagnostic model (LCDM; Henson et al., 2009)

Item measures only 1 attribute
\[ \text{logit}(X_i = 1) = \color{#A91E47}{\lambda_{i,0}} + \color{#8BB5D2}{\lambda_{i,1(1)}}\color{#81A757}{\alpha} \]
Item measures multiple attributes
\[ \text{logit}(X_i = 1) = \color{#A91E47}{\lambda_{i,0}} + \color{#874886}{\lambda_{i,1(1)}\alpha_1} + \color{#96689A}{\lambda_{i,1(2)}\alpha_2} + \color{#8BB5D2}{\lambda_{i,2(1,2)}\alpha_1\alpha_2} \]
Attribute and item relationships are defined in the Q-matrix
Q-matrix
So called “general” DCM because the LCDM subsumes other DCMs
Constraints on item parameters make LCDM equivalent to other DCMs (e.g., DINA and DINO)
Testable hypotheses!
# A tibble: 500 × 29
album `1` `2` `3` `4` `5` `6` `7` `8` `9` `10` `11` `12`
<chr> <int> <int> <int> <int> <int> <int> <int> <int> <int> <int> <int> <int>
1 Melo… 0 1 1 1 0 1 0 0 1 1 0 0
2 A Ni… 1 0 0 0 0 0 0 0 0 0 0 0
3 Cann… 1 0 0 0 0 0 1 0 0 0 0 0
4 BORN… 1 0 0 1 1 0 0 0 1 0 0 0
5 Loose 1 0 0 1 1 1 0 0 0 1 1 1
6 Red 0 1 0 0 1 1 0 1 0 0 1 0
7 Wild… 0 0 1 1 0 0 0 0 1 0 0 1
8 Dawn… 0 0 1 1 0 1 0 1 0 0 0 0
9 than… 0 0 0 0 0 0 0 0 1 1 0 1
10 In A… 1 0 1 1 0 1 1 0 0 0 0 0
# ℹ 490 more rows
# ℹ 16 more variables: `13` <int>, `14` <int>, `15` <int>, `16` <int>,
# `17` <int>, `18` <int>, `19` <int>, `20` <int>, `21` <int>, `22` <int>,
# `23` <int>, `24` <int>, `25` <int>, `26` <int>, `27` <int>, `28` <int>
measr_dcm()Estimate a DCM with Stan
ts_dcm <- measr_dcm(
1 data = ts_dat, qmatrix = ts_qmat,
resp_id = "album",
2 type = "lcdm",
3 method = "mcmc", backend = "cmdstanr",
4 iter_warmup = 1500, iter_sampling = 500,
chains = 4, parallel_chains = 4,
5 file = "fits/taylor-lcdm"
)measr_dcm() optionstype: Declare the type of DCM to estimate. Currently supports LCDM, DINA, DINO, and C-RUM
method: How to estimate the model. To sample, use “mcmc”. To use Stan’s optimizer, use “optim”
backend: Which engine to use, either “rstan” or “cmdstanr”
...: Additional arguments that are passed to, depending on the method and backend:
rstan::sampling()rstan::optimizing()cmdstanr::sample()cmdstanr::optimize()# A tibble: 500 × 17
album `[0,0,0,0]` `[1,0,0,0]` `[0,1,0,0]`
<fct> <rvar[1d]> <rvar[1d]> <rvar[1d]>
1 Melodrama 1.1e-06 ± 1.2e-06 1.3e-08 ± 1.4e-08 3.7e-05 ± 3.0e-05
2 A Night At The Oper… 9.5e-01 ± 2.3e-02 8.5e-03 ± 5.1e-03 8.5e-03 ± 5.3e-03
3 Cannibal (Expanded … 1.2e-02 ± 9.4e-03 4.2e-03 ± 3.4e-03 9.1e-01 ± 4.7e-02
4 BORN PINK 1.5e-01 ± 7.1e-02 1.6e-04 ± 1.2e-04 3.1e-01 ± 1.2e-01
5 Loose 8.5e-06 ± 9.6e-06 5.1e-08 ± 6.1e-08 1.5e-04 ± 1.2e-04
6 Red 1.8e-03 ± 1.9e-03 1.4e-02 ± 1.2e-02 9.7e-02 ± 6.2e-02
7 Wildfire 1.7e-04 ± 1.5e-04 1.6e-07 ± 1.7e-07 1.4e-03 ± 1.3e-03
8 Dawn FM 5.4e-05 ± 6.1e-05 2.6e-07 ± 2.8e-07 1.2e-03 ± 7.5e-04
9 thank u, next 7.1e-02 ± 4.9e-02 5.8e-06 ± 4.9e-06 3.7e-02 ± 2.5e-02
10 In A Perfect World … 1.2e-08 ± 1.6e-08 7.1e-05 ± 5.7e-05 9.8e-07 ± 8.7e-07
# ℹ 490 more rows
# ℹ 13 more variables: `[0,0,1,0]` <rvar[1d]>, `[0,0,0,1]` <rvar[1d]>,
# `[1,1,0,0]` <rvar[1d]>, `[1,0,1,0]` <rvar[1d]>, `[1,0,0,1]` <rvar[1d]>,
# `[0,1,1,0]` <rvar[1d]>, `[0,1,0,1]` <rvar[1d]>, `[0,0,1,1]` <rvar[1d]>,
# `[1,1,1,0]` <rvar[1d]>, `[1,1,0,1]` <rvar[1d]>, `[1,0,1,1]` <rvar[1d]>,
# `[0,1,1,1]` <rvar[1d]>, `[1,1,1,1]` <rvar[1d]>
# A tibble: 500 × 5
album songwriting production vocals
<fct> <rvar[1d]> <rvar[1d]> <rvar[1d]>
1 Melodrama 0.000419 ± 0.000278 0.9422 ± 0.0340 0.966461 ± 0.019196
2 A Night At The Op… 0.008565 ± 0.005107 0.0086 ± 0.0053 0.033112 ± 0.019671
3 Cannibal (Expande… 0.080788 ± 0.044734 0.9842 ± 0.0114 0.000045 ± 0.000039
4 BORN PINK 0.000471 ± 0.000233 0.3845 ± 0.1307 0.508834 ± 0.137168
5 Loose 0.001590 ± 0.001057 0.8967 ± 0.0614 0.935788 ± 0.042500
6 Red 0.746107 ± 0.099693 0.6544 ± 0.1407 0.703408 ± 0.128450
7 Wildfire 0.000059 ± 0.000035 0.1359 ± 0.1027 0.951212 ± 0.028540
8 Dawn FM 0.000650 ± 0.000407 0.9544 ± 0.0313 0.003481 ± 0.003005
9 thank u, next 0.000020 ± 0.000010 0.2147 ± 0.0833 0.890630 ± 0.065815
10 In A Perfect Worl… 0.997949 ± 0.001355 0.9638 ± 0.0216 0.004456 ± 0.004106
# ℹ 490 more rows
# ℹ 1 more variable: cohesion <rvar[1d]>
# A tibble: 14 × 5
album songwriting production vocals
<fct> <rvar[1d]> <rvar[1d]> <rvar[1d]>
1 Red 0.746107 ± 0.099693 0.6544 ± 0.14069 0.70341 ± 0.12845
2 Fearless (Taylor's… 0.915897 ± 0.058410 0.0308 ± 0.02352 0.02697 ± 0.01902
3 Speak Now (Taylor'… 0.999783 ± 0.000145 0.2619 ± 0.12795 0.12060 ± 0.07406
4 Midnights 0.997510 ± 0.001928 0.0206 ± 0.01822 0.86307 ± 0.09284
5 reputation 0.561946 ± 0.157150 0.0631 ± 0.04698 0.95791 ± 0.02410
6 Red (Taylor's Vers… 0.999976 ± 0.000017 0.9808 ± 0.01220 0.97884 ± 0.01149
7 Fearless 0.527831 ± 0.173573 0.0092 ± 0.00751 0.00091 ± 0.00068
8 1989 (Taylor's Ver… 0.195956 ± 0.116831 0.9960 ± 0.00250 0.99601 ± 0.00216
9 Taylor Swift 0.000055 ± 0.000031 0.0012 ± 0.00073 0.00011 ± 0.00008
10 folklore 0.999904 ± 0.000074 0.9855 ± 0.01114 0.99407 ± 0.00352
11 Speak Now 0.575813 ± 0.147118 0.3276 ± 0.13558 0.00072 ± 0.00052
12 evermore 0.826752 ± 0.077166 0.9304 ± 0.04031 0.91412 ± 0.04216
13 Lover 0.494974 ± 0.152578 0.0016 ± 0.00140 0.89823 ± 0.06781
14 1989 0.000043 ± 0.000025 0.9465 ± 0.03016 0.84713 ± 0.07194
# ℹ 1 more variable: cohesion <rvar[1d]>
How well does the model fit the data?
Overall model fit
Item-level fit
# A tibble: 1 × 8
m2 df pval rmsea ci_lower ci_upper `90% CI` srmsr
<dbl> <int> <dbl> <dbl> <dbl> <dbl> <chr> <dbl>
1 310. 309 0.478 0.00218 0 0.0173 [0, 0.0173] 0.0371
fit_m2() function also returns some other model fit statistics that may be familiar





# A tibble: 1 × 5
obs_chisq ppmc_mean `2.5%` `97.5%` ppp
<dbl> <dbl> <dbl> <dbl> <dbl>
1 35.9 30.7 14.9 57.1 0.207
# A tibble: 448 × 7
item class obs_cond_pval ppmc_mean `2.5%` `97.5%` ppp
<fct> <chr> <dbl> <dbl> <dbl> <dbl> <dbl>
1 1 [0,0,0,0] 0.162 0.207 0.135 0.274 0.894
2 1 [1,0,0,0] 0.609 0.629 0.537 0.714 0.668
3 1 [0,1,0,0] 0.429 0.320 0.243 0.409 0.01
4 1 [0,0,1,0] 0.332 0.207 0.135 0.274 0.0005
5 1 [0,0,0,1] 0.166 0.207 0.135 0.274 0.866
6 1 [1,1,0,0] 0.628 0.733 0.645 0.821 0.992
7 1 [1,0,1,0] 0.759 0.629 0.537 0.714 0.0005
8 1 [1,0,0,1] 0.522 0.629 0.537 0.714 0.988
9 1 [0,1,1,0] 0.277 0.320 0.243 0.409 0.847
10 1 [0,1,0,1] 0.298 0.320 0.243 0.409 0.679
# ℹ 438 more rows
# A tibble: 378 × 7
item_1 item_2 obs_or ppmc_mean `2.5%` `97.5%` ppp
<fct> <fct> <dbl> <dbl> <dbl> <dbl> <dbl>
1 1 2 2.13 2.65 1.67 4.02 0.818
2 1 3 1.51 1.94 1.27 2.86 0.868
3 1 4 0.906 1.13 0.760 1.62 0.846
4 1 5 1.78 1.53 0.986 2.21 0.190
5 1 6 1.35 1.27 0.846 1.84 0.34
6 1 7 4.17 3.36 2.02 5.40 0.16
7 1 8 2.02 1.98 1.30 2.93 0.413
8 1 9 0.939 1.04 0.717 1.48 0.664
9 1 10 1.17 1.12 0.740 1.60 0.368
10 1 11 1.82 1.75 1.12 2.60 0.373
# ℹ 368 more rows
loo() or waic()loo_compare()Reporting reliability depends on how results are estimated and reported
Reliability for:
# A tibble: 500 × 17
album `[0,0,0,0]` `[1,0,0,0]` `[0,1,0,0]`
<fct> <rvar[1d]> <rvar[1d]> <rvar[1d]>
1 Melodrama 1.1e-06 ± 1.2e-06 1.3e-08 ± 1.4e-08 3.7e-05 ± 3.0e-05
2 A Night At The Oper… 9.5e-01 ± 2.3e-02 8.5e-03 ± 5.1e-03 8.5e-03 ± 5.3e-03
3 Cannibal (Expanded … 1.2e-02 ± 9.4e-03 4.2e-03 ± 3.4e-03 9.1e-01 ± 4.7e-02
4 BORN PINK 1.5e-01 ± 7.1e-02 1.6e-04 ± 1.2e-04 3.1e-01 ± 1.2e-01
5 Loose 8.5e-06 ± 9.6e-06 5.1e-08 ± 6.1e-08 1.5e-04 ± 1.2e-04
6 Red 1.8e-03 ± 1.9e-03 1.4e-02 ± 1.2e-02 9.7e-02 ± 6.2e-02
7 Wildfire 1.7e-04 ± 1.5e-04 1.6e-07 ± 1.7e-07 1.4e-03 ± 1.3e-03
8 Dawn FM 5.4e-05 ± 6.1e-05 2.6e-07 ± 2.8e-07 1.2e-03 ± 7.5e-04
9 thank u, next 7.1e-02 ± 4.9e-02 5.8e-06 ± 4.9e-06 3.7e-02 ± 2.5e-02
10 In A Perfect World … 1.2e-08 ± 1.6e-08 7.1e-05 ± 5.7e-05 9.8e-07 ± 8.7e-07
# ℹ 490 more rows
# ℹ 13 more variables: `[0,0,1,0]` <rvar[1d]>, `[0,0,0,1]` <rvar[1d]>,
# `[1,1,0,0]` <rvar[1d]>, `[1,0,1,0]` <rvar[1d]>, `[1,0,0,1]` <rvar[1d]>,
# `[0,1,1,0]` <rvar[1d]>, `[0,1,0,1]` <rvar[1d]>, `[0,0,1,1]` <rvar[1d]>,
# `[1,1,1,0]` <rvar[1d]>, `[1,1,0,1]` <rvar[1d]>, `[1,0,1,1]` <rvar[1d]>,
# `[0,1,1,1]` <rvar[1d]>, `[1,1,1,1]` <rvar[1d]>
# A tibble: 14 × 3
album profile prob
<fct> <chr> <dbl>
1 Red [1,0,1,0] 0.297
2 Fearless (Taylor's Version) [1,0,0,1] 0.869
3 Speak Now (Taylor's Version) [1,0,0,0] 0.351
4 Midnights [1,0,1,1] 0.831
5 reputation [1,0,1,0] 0.517
6 Red (Taylor's Version) [1,1,1,0] 0.488
7 Fearless [1,0,0,1] 0.523
8 1989 (Taylor's Version) [0,1,1,1] 0.797
9 Taylor Swift [0,0,0,1] 0.878
10 folklore [1,1,1,1] 0.979
11 Speak Now [1,0,0,0] 0.479
12 evermore [1,1,1,1] 0.704
13 Lover [0,0,1,1] 0.442
14 1989 [0,1,1,1] 0.797
# A tibble: 500 × 5
album songwriting production vocals
<fct> <rvar[1d]> <rvar[1d]> <rvar[1d]>
1 Melodrama 0.000419 ± 0.000278 0.9422 ± 0.0340 0.966461 ± 0.019196
2 A Night At The Op… 0.008565 ± 0.005107 0.0086 ± 0.0053 0.033112 ± 0.019671
3 Cannibal (Expande… 0.080788 ± 0.044734 0.9842 ± 0.0114 0.000045 ± 0.000039
4 BORN PINK 0.000471 ± 0.000233 0.3845 ± 0.1307 0.508834 ± 0.137168
5 Loose 0.001590 ± 0.001057 0.8967 ± 0.0614 0.935788 ± 0.042500
6 Red 0.746107 ± 0.099693 0.6544 ± 0.1407 0.703408 ± 0.128450
7 Wildfire 0.000059 ± 0.000035 0.1359 ± 0.1027 0.951212 ± 0.028540
8 Dawn FM 0.000650 ± 0.000407 0.9544 ± 0.0313 0.003481 ± 0.003005
9 thank u, next 0.000020 ± 0.000010 0.2147 ± 0.0833 0.890630 ± 0.065815
10 In A Perfect Worl… 0.997949 ± 0.001355 0.9638 ± 0.0216 0.004456 ± 0.004106
# ℹ 490 more rows
# ℹ 1 more variable: cohesion <rvar[1d]>
# A tibble: 14 × 5
album songwriting production vocals cohesion
<fct> <int> <int> <int> <int>
1 Red 1 1 1 0
2 Fearless (Taylor's Version) 1 0 0 1
3 Speak Now (Taylor's Version) 1 0 0 0
4 Midnights 1 0 1 1
5 reputation 1 0 1 0
6 Red (Taylor's Version) 1 1 1 0
7 Fearless 1 0 0 1
8 1989 (Taylor's Version) 0 1 1 1
9 Taylor Swift 0 0 0 1
10 folklore 1 1 1 1
11 Speak Now 1 0 0 0
12 evermore 1 1 1 1
13 Lover 0 0 1 1
14 1989 0 1 1 1
$accuracy
# A tibble: 4 × 8
attribute acc lambda_a kappa_a youden_a tetra_a tp_a tn_a
<chr> <dbl> <dbl> <dbl> <dbl> <dbl> <dbl> <dbl>
1 songwriting 0.973 0.944 0.399 0.946 0.996 0.971 0.975
2 production 0.900 0.800 0.784 0.800 0.951 0.901 0.899
3 vocals 0.927 0.848 0.849 0.855 0.974 0.933 0.922
4 cohesion 0.958 0.916 0.413 0.917 0.992 0.961 0.956
$consistency
# A tibble: 4 × 10
attribute consist lambda_c kappa_c youden_c tetra_c tp_c tn_c gammak
<chr> <dbl> <dbl> <dbl> <dbl> <dbl> <dbl> <dbl> <dbl>
1 songwriting 0.949 0.895 0.944 0.898 0.987 0.947 0.951 0.958
2 production 0.823 0.644 0.800 0.646 0.849 0.824 0.822 0.855
3 vocals 0.865 0.724 0.853 0.730 0.912 0.862 0.868 0.891
4 cohesion 0.920 0.838 0.916 0.841 0.969 0.922 0.919 0.940
# ℹ 1 more variable: pc_prime <dbl>
# A tibble: 500 × 5
album songwriting production vocals
<fct> <rvar[1d]> <rvar[1d]> <rvar[1d]>
1 Melodrama 0.000419 ± 0.000278 0.9422 ± 0.0340 0.966461 ± 0.019196
2 A Night At The Op… 0.008565 ± 0.005107 0.0086 ± 0.0053 0.033112 ± 0.019671
3 Cannibal (Expande… 0.080788 ± 0.044734 0.9842 ± 0.0114 0.000045 ± 0.000039
4 BORN PINK 0.000471 ± 0.000233 0.3845 ± 0.1307 0.508834 ± 0.137168
5 Loose 0.001590 ± 0.001057 0.8967 ± 0.0614 0.935788 ± 0.042500
6 Red 0.746107 ± 0.099693 0.6544 ± 0.1407 0.703408 ± 0.128450
7 Wildfire 0.000059 ± 0.000035 0.1359 ± 0.1027 0.951212 ± 0.028540
8 Dawn FM 0.000650 ± 0.000407 0.9544 ± 0.0313 0.003481 ± 0.003005
9 thank u, next 0.000020 ± 0.000010 0.2147 ± 0.0833 0.890630 ± 0.065815
10 In A Perfect Worl… 0.997949 ± 0.001355 0.9638 ± 0.0216 0.004456 ± 0.004106
# ℹ 490 more rows
# ℹ 1 more variable: cohesion <rvar[1d]>
# A tibble: 4 × 5
attribute rho_pf rho_bs rho_i rho_tb
<chr> <dbl> <dbl> <dbl> <dbl>
1 songwriting 0.920 0.917 0.710 0.991
2 production 0.715 0.710 0.595 0.898
3 vocals 0.783 0.782 0.637 0.942
4 cohesion 0.880 0.880 0.692 0.982
Confirmatory latent class models with categorical latent variables
Many benefits over traditional methods
Broad applicability in educational and psychological measurement

